27+ intel core i7 block diagram

The block diagram of Intel Core i7-990X is shown below. Intel Core i7-990X is processor manufactured by Intel and launched in Q1 2011.


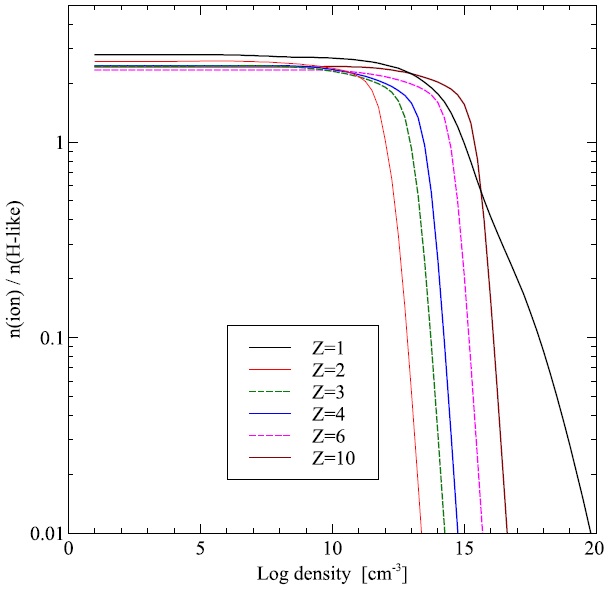
The 2017 Release Of Cloudy

BLOCK DIAGRAM OF INTEL 8085.

. Videocardz says they have received an image for the block diagram on Intels DG2 pointing towards a 189 mm² die area for the 384 EU version. Its using LGA1366 socket. Computer Science questions and answers.

Pmp5800 reference design ti com vpx765 intel core processor i7 1185gre vpx 3u 11th generation 12800hx 16 alder lake hx cpu has already been tested cardz 1 block diagram. Ad Power Your Productivity Display Your Creations with 12th Gen Intel Core Processors. Re-imagine The Blend of Power Performance in Your System With The Latest Intel Evo.

Contribute to sbmboyen development by creating an account on GitHub. The following diagrams show the components of the reference designs and their clocking and reset schemes. Looking at component density it.

Core i9 Document Number. Home Intel 12th Gen Core Alder Lake Details at Intel Innovation 2021 Intel Z690 Chipset Block Diagram. This processor is a 2-die package made up of the dual.

2260 Result For core i3 i5 i7 pentium block diagram. Move the jumper clip from pins 1-2 default to pins 2-3. Keep the clip-on pins 2-3 for about 510 seconds then move the clip back to pins 1-2.

371 Processor The development kit uses the board design which supports Intel Core i7 processor in a BGA package U3E1. Add the Premium Quality Intel i7 Processor to Your Cart for a Seamless Work Experience. Muhammad Zakir Research Associate Mehran UET Visiting Faculty IBTLUMHS.

Ad CDW Helps You Design Orchestrate and Manage Technologies That Drive Business Success. Block Diagram of the Reference Design Without the. Plug the power cord.

It has 6 cores and 12 threads with clock of 35 GHz that can turbo clock itself. BLOCK DIAGRAM OF INTEL 8085. Explain the working of processor and how cache coherency is maintained.


The 2017 Release Of Cloudy


Irjet Effect Of Pin Fin Geometry On Performance Of Heat Sink Social Media Management Tools Learning Techniques Information Processing


2


Asus Z270 Ws Schematic Circuit Diagram Asus Z270 Ws Boardview In 2022 Circuit Diagram Asus Circuit


G751 Is An Unbeatable Gaming Laptop Thanks To Its 4th Gen Intel Core I7 Processor And Nvidia Geforce Gtx Graphics With Turbomaster Technology For Stable Gpu


2


Pin By Molnar Anto On Laptop Repair Guide Notebook Pc Asus


The Intel 6th Gen Skylake Review Core I7 6700k And I5 6600k Tested Custom Pc Core I7 Intel


New Intel Ivy Bridge Chipsets Intel Ivy Bridge


Irjet Comparative Analysis Of Rc Steel Chimney With Varying The Height Of Stack Technical Paper Wind Analysis Analysis Grade Of Concrete


2


Intel Z170 Lga 1151 Motherboard Roundup Introduction Informatica Tecnologia


Uah Global Temperature Update For January 2021 0 12 Deg C New Base Period Roy Spencer Phd


Asus Ux31a2 Schematics Www S Manuals Com R2 0 Schematics


2


Requirements Forums


Pin On Tribaxab

Iklan Atas Artikel

Iklan Tengah Artikel 1

Iklan Tengah Artikel 2

Iklan Bawah Artikel